Enhancement of Melanocortin-4 Receptor (MC4R) and Constancy of Kiss1 mRNAs Expression in the Hypothalamic Arcuate Nucleus in a Model of Polycystic Ovary Syndrome Rat
DOI:
https://doi.org/10.31661/gmj.v7i.1070Keywords:
Polycystic Ovary Syndrome, Melanocortin-4 Receptor, Kisspeptin, Light, RatsAbstract
Background: Hypothalamic Melanocortin-4 Receptor (MC4R) and kiss1/kisspeptin systems play roles in reproductive processes. This study was conducted to evaluate changes in MC4R and kiss1 genes expression in the arcuate nucleus (ARC) of the hypothalamus and its relationship with polycystic ovary syndrome (PCOS) in rats.
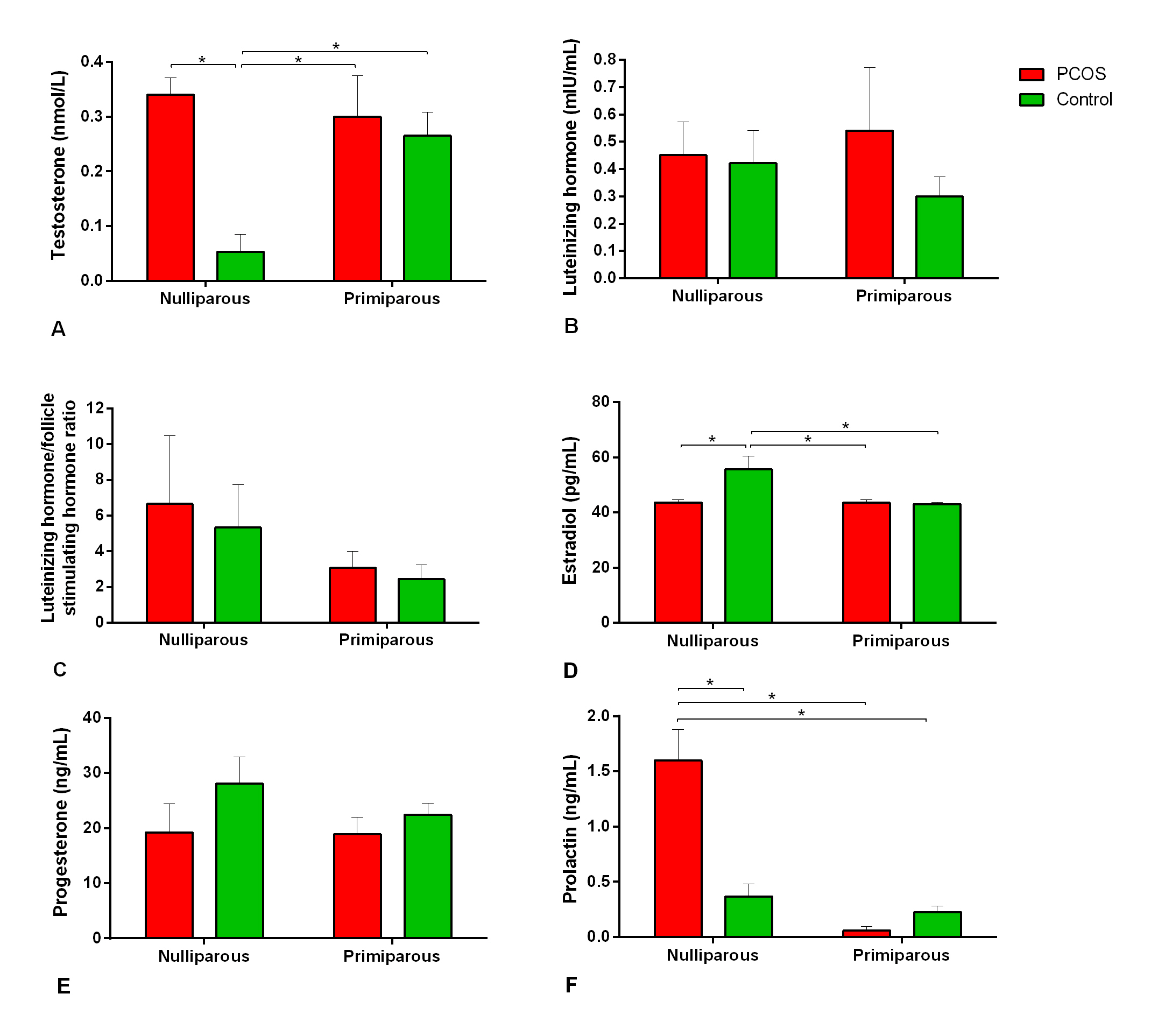
Materials and Methods: In the current experimental study, 24 female rats were randomly and equally allocated into nulliparous and primiparous groups and then were divided into two subgroups of PCOS and control. PCOS was induced by exposure to continuous light. Sex-related hormones were evaluated by radioimmunoassay or immunoradiometric assay. Expressions of MC4R and kiss1 gene in the ARC of the hypothalamus of the rats were evaluated by real-time PCR. Histomorphometric alterations of ovaries were compared between groups.
Results: Number of tertiary follicles and their size and number of atretic follicles in the PCOS subgroups were more than those in the controls (P<0.05) whereas the number of secondary follicles and corpus luteum in the PCOS subgroups were lower than those in the controls (P<0.05). Antrum and total diameters of tertiary follicles in the PCOS subgroups were greater and granulosa layer diameter was lower than those in the controls (P<0.05). The MC4R mRNA expression in the PCOS subgroups was 6.5-fold in nulliparous and 3.5-fold in primiparous groups more than their controls’ pairs (P<0.05). However, parity did not affect the expression of MC4R gene (P>0.05).The kiss1 mRNA expression in the PCOS and control subgroups was not significantly different (P>0.05).
Conclusion: Overexpression of MC4R gene after PCOS induction in the ARC of the hypothalamus may link to metabolic disorders of induced PCOS in the rats. However, alteration in the kiss1 mRNA expression after PCOS induction was not observed in the rats. [GMJ.2018;7:e1070]
References
Azziz R, Carmina E, Chen Z, Dunaif A, Laven JSE, Legro RS, et al. Polycystic ovary syndrome. Nat Rev Dis Primers. 2016; 2: 16057.
Goodarzi MO, Dumesic DA, Chazen BG, Azziz R. Polycystic ovary syndrome: etiology, pathogenesis, and diagnosis. Nat Rev Endocrinol. 2011; 7(4): 219-31.
Panidis D, Rousso D, Koliakos G, Kourtis A, Katsikis I, Farmakiotis D, et al. Plasma metastin levels are negatively correlated with insulin resistance and free androgens in women with polycystic ovary syndrome. Fertil Steril. 2006; 85(6): 1778-83.
Bradnová O, Vejrazková D, Vanková M, Lukásová P, Vcelák J, Stanická S, et al. Metabolic and hormonal consequencies of the" obesity risk" MC4R variant (rs12970134) in Czech women. Physiol Res. 2015; 64: S187.
Kim KS, Larsen N, Short T, Plastow G, Rothschild MF. A missense variant of the porcine melanocortin-4 receptor (MC4R) gene is associated with fatness, growth, and feed intake traits. Mamm Genome. 2000; 11(2): 131-5.
Tan S, Scherag A, Janssen OE, Hahn S, Lahner H, Dietz T, et al. Large effects on body mass index and insulin resistance of fat mass and obesity associated gene (FTO) variants in patients with polycystic ovary syndrome (PCOS). BMC Med Genet. 2010; 11: 12.
Yuan H, Zhu G, Wang F, Wang X, Guo H, Shen M. Interaction between common variants of FTO and MC4R is associated with risk of PCOS. Reprod Biol Endocrinol. 2015; 13(1): 55.
Caldwell A, Middleton L, Jimenez M, Desai R, McMahon A, Allan C, et al. Characterization of reproductive, metabolic, and endocrine features of polycystic ovary syndrome in female hyperandrogenic mouse models. Endocrinology. 2014; 155(8): 3146-59.
Cernea M, Padmanabhan V, Goodman RL, Coolen LM, Lehman MN. Prenatal testosterone treatment leads to changes in the morphology of KNDy neurons, their inputs, and projections to GnRH cells in female sheep. Endocrinology. 2015; 156(9): 3277-91.
Karami Kheirabad M, Ahmadloo S, Namavar Jahromi B, Rahmanifar F, Tamadon A, Ramezani A, et al. Alterations of hypothalamic RFamide related peptide-3 and Kiss1 gene expressions during spermatogenesis of rat in chronic stress conditions. Vet Arhiv. 2016; 86(6): 841-56.
Sarvestani FS, Tamadon A, Koohi-Hosseinabadi O, Nezhad SM, Rahmanifar F, Shirazi MRJ, et al. Expression of RFamide-related peptide-3 (RFRP-3) mRNA in dorsomedial hypothalamic nucleus and KiSS-1 mRNA in arcuate nucleus of rat during pregnancy. Int J Fertil Steril. 2014; 8(3): 333-40.
Noroozi A, Shirazi MRJ, Zamiri MJ, Tamadon A, Akhlaghi A, Tanideh N, et al. Increased litter size and suckling intensity inhibit KiSS-1 mRNA expression in rat arcuate nucleus. Iran J Basic Med Sci. 2014;17(8):600-5.
Asadi Yousefabad SL, Tamadon A, Rahmanifar F, Jafarzadeh Shirazi MR, Sabet Sarvestani F, Tanideh N, et al.
Lactation effect on the mRNAs expression of RFRP-3 and KiSS-1 in dorsomedial and arcuate nuclei of the rat hypothalamus. Physiol Pharmacol. 2013; 17(3): 277-85.
Jafarzadeh Shirazi MR, Zamiri MJ, Salehi MS, Moradi S, Tamadon A, Namavar MR, et al. Differential expression of RFamide-related peptide, a mammalian gonadotrophin-inhibitory hormone orthologue, and kisspeptin in the hypothalamus of Abadeh ecotype does during breeding and anoestrous seasons. J Neuroendocrinol. 2014; 26(3): 186-94.
Salehi MS, Shirazi MRJ, Zamiri MJ, Pazhoohi F, Namavar MR, Niazi A, et al. Hypothalamic expression of KiSS1 and RFamide-related peptide-3 mRNAs during the estrous cycle of rats. Int J Fertil Steril. 2013; 6(4): 304-9.
Jahanara M, Tamadon A, Jafarzadeh Shirazi MR, Rahmanifar F, Sabet Sarvestani F, Tanideh N, et al. Long term malnutrition and mRNAs expression of RFRP-3 and KiSS-1 in hypothalamus of female ovariectomized rats. Physiol Pharmacol. 2014; 17(4): 370-8.
Arjmand M, Mirzaei A, Jafarzadeh Shirazi MR, Tamadon A, Salehi MS, Saeb M, et al. Luteal activity of Abadeh ecotype does in summer and winter and the effect of a single dose of kisspeptin-10 injection on luteinizing hormone secretion in the anestrus does. Vet Res Forum. 2014; 5: 247-54.
Lehman MN, Coolen LM, Goodman RL. Minireview: kisspeptin/neurokinin B/dynorphin (KNDy) cells of the arcuate nucleus: a central node in the control of gonadotropin-releasing hormone secretion. Endocrinology. 2010; 151(8): 3479-89.
Witchel SF, Tena-Sempere M. The Kiss1 system and polycystic ovary syndrome: lessons from physiology and putative pathophysiologic implications. Fertil Steril. 2013; 100(1): 12-22.
Walters KA, Allan CM, Handelsman DJ. Rodent models for human polycystic ovary syndrome. Biol Reprod. 2012; 86(5): 1-12.
Rahmanifar F, Nooranizadeh MH, Tamadon A, Rajabi-Aslani J, Koohi-Hosseinabadi O, Jafarzadeh Shirazi MR, et al. Histomorphometric comparison of induction of polycystic ovary syndrome by exposure to constant light in primiparous and nulliparous rats. Iran J Sci Technol A. 2018; 42(2): 421-30.
Salehi MS, Namavar MR, Jafarzadeh Shirazi MR, Rahmanifar F, Tamadon A. A simple method for isolation of the anteroventral periventricular and arcuate nuclei of the rat hypothalamus. Anatomy. 2013; 7(1): 48–51.
Azarnia M, Koochesfahani HM, Rajabi M, Tahamtani Y, Tamadon A. Histological examination of endosulfan effects on follicular development of BALB/c mice. Bulg J Vet Med. 2008; 12:33-41.
Larionov A, Krause A, Miller W. A standard curve based method for relative real time PCR data processing. BMC Bioinformatics. 2005; 6(1): 1.
Maranon R, Lima R, Spradley FT, do Carmo JM, Zhang H, Smith AD, et al. Roles for the sympathetic nervous system, renal nerves, and CNS melanocortin-4 receptor in the elevated blood pressure in hyperandrogenemic female rats. Am J Physiol Regul Integr Comp Physiol. 2015; 308(8): R708-R13.
Ewens KG, Jones MR, Ankener W, Stewart DR, Urbanek M, Dunaif A, et al. FTO and MC4R gene variants are associated with obesity in polycystic ovary syndrome. PLoS ONE. 2011; 6(1): e16390.
Krashes MJ, Lowell BB, Garfield AS. Melanocortin-4 receptor-regulated energy homeostasis. Nat Neurosci. 2016; 19(2): 206-19.
Diane A, Kupreeva M, Borthwick F, Proctor SD, Pierce WD, Vine DF. Cardiometabolic and reproductive benefits of early dietary energy restriction and voluntary exercise in an obese PCOS-prone rodent model. J Endocrinol. 2015; 226(3): 193-206.
Takeo Y, Kohno J, Hokano M. Ultrastructural evidence for estradiol synthesis in the ovary of persistent-estrous rats exposed to continuous illumination. Acta Anat (Basel). 1986; 127(3): 161-70.
Baravalle C, Salvetti NR, Mira GA, Lorente JA, Ortega HH. The role of ACTH in the pathogenesis of polycystic ovarian syndrome in rats: hormonal profiles and ovarian morphology. Physiol Res. 2007; 56(1): 67.
Salvetti NR, Canal AM, Gimeno EJ, Ortega HH. Polycystic ovarian syndrome: temporal characterization of the induction and reversion process in an experimental model. Braz J Vet Res Anim Sci. 2004; 41(6): 389-95.
Anwary SA, Chowdhury S, Fatima P, Alfazzaman M, Begum N, Banu J. A Study on subfertile women suffering from polycystic ovarian syndrome with hyperprolactinaemia and hypothyroidism as associated factors. J Bangladesh Coll Phys Surg. 2014; 31(3): 140-3.
Brown RE, Wilkinson DA, Imran SA, Caraty A, Wilkinson M. Hypothalamic kiss1 mRNA and kisspeptin immunoreactivity are reduced in a rat model of polycystic ovary syndrome (PCOS). Brain Res. 2012; 1467: 1-9.
Marcondes RR, Carvalho KC, Giannocco G, Jose M Soares J, Baracat EC, Maciel GA. Neonatal exposure to androgen and estrogen alters gene expression of Kiss1, Kiss1 receptor and androgen receptor in the hypothalamus of female rat. Regulation of Kisspeptin & GnRH Neurones (Basic). p. SUN-699-SUN-.
Kondo M, Osuka S, Iwase A, Nakahara T, Saito A, Bayasula, et al. Increase of kisspeptin-positive cells in the hypothalamus of a rat model of polycystic ovary syndrome. Metab Brain Dis. 2016; 31(3): 673-81.
Published
How to Cite
Issue
Section
License
Copyright (c) 2018 Galen Medical Journal

This work is licensed under a Creative Commons Attribution 4.0 International License.





