The Optimal Cut-off Score of the Nijmegen Questionnaire for Diagnosing Hyperventilation Syndrome Using a Bayesian Model in the Absence of a Gold Standard
DOI:
https://doi.org/10.31661/gmj.v9i.1738Abstract
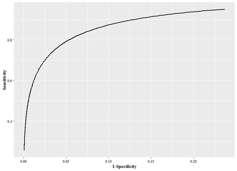
Background: The Nijmegen questionnaire is one of the most common tools for diagnosing hyperventilation syndrome (HVS). However, there is no precise cut-off score for differentiating patients with HVS from those without HVS. This study was conducted to evaluate the accuracy of Nijmegen questionnaire for detecting patients with HVS and to provide the best cut-off score for differentiating patients with HVS from normal individuals using a Bayesian model in the absence of a gold standard. Materials and Methods: A total of 490 students from a rehabilitation center in Tehran, Iran, were asked to participate in this case study of HVS from January to August 2018. Results: A total of 215 students (40% male and 60% female) completed the Nijmegen questionnaire. The area under the receiver operating characteristic curve (AUC) was 0.93 (male: 0.95; female: 94) for all of the cut-off scores. The optimal cut-off score of ≥20 could predict HVS with sensitivity of 0.91 (male: 0.99; female: 91) and specificity of 0.92 (male: 96; female: 89). Conclusion: Accurate differentiation of HVS patients from individuals without HVS can be accomplished by estimating the cut-off score of Nijmegen questionnaire based on a non-parametric Bayesian model. [GMJ.2020;9:e1738]
References
Barker N, Everard ML. Getting to grips with 'dysfunctional breathing'. Paediatr Respir Rev. 2015; 16(1):53-61.
https://doi.org/10.1016/j.prrv.2014.10.001
PMid:25499573
Gardner WN. The pathophysiology of hyperventilation disorders. Chest. 1996; 109(2):516-34.
https://doi.org/10.1378/chest.109.2.516
PMid:8620731
Courtney R, Greenwood KM, Cohen M. Relationships between measures of dysfunctional breathing in a population with concerns about their breathing. J Bodyw Mov Ther. 2011; 15(1):24-34.
https://doi.org/10.1016/j.jbmt.2010.06.004
PMid:21147415
Robson A. Dyspnoea, hyperventilation and functional cough: a guide to which tests help sort them out. Breathe (Sheff). 2017; 13(1):45-50.
https://doi.org/10.1183/20734735.019716
PMid:28289450 PMCid:PMC5343732
Connett GJ, Connett LA, Thomas M. Determining the reasons for poorly controlled asthma in an adolescent. BMJ. 2019; 364:l75.
https://doi.org/10.1136/bmj.l75
PMid:30665959
Hyperventilation: Symptoms C, Treatment, Emergencies. WebMD, 2019. (Accessed October 21, 2019, at https://www.webmd.com/lung/lung-hyperventilation-what-to-do#1-3.)
van Dixhoorn J, Folgering H. The Nijmegen Questionnaire and dysfunctional breathing. ERJ Open Res. 2015; 1(1):00001-2015.
https://doi.org/10.1183/23120541.00001-2015
PMid:27730128 PMCid:PMC5005127
Thomas M, McKinley RK, Freeman E, Foy C. Prevalence of dysfunctional breathing in patients treated for asthma in primary care: cross sectional survey. BMJ. 2001;322(7294):1098-100.
https://doi.org/10.1136/bmj.322.7294.1098
PMid:11337441 PMCid:PMC31263
Grammatopoulou EP, Skordilis EK, Georgoudis G, Haniotou A, Evangelodimou A, Fildissis G et al. Hyperventilation in asthma: a validation study of the Nijmegen Questionnaire--NQ. J Asthma. 2014; 51(8):839-46.
https://doi.org/10.3109/02770903.2014.922190
PMid:24823322
Thomas M, McKinley RK, Freeman E, Foy C, Price D. The prevalence of dysfunctional breathing in adults in the community with and without asthma. Prim Care Respir J. 2005; 14(2):78-82.
https://doi.org/10.1016/j.pcrj.2004.10.007
PMid:16701702 PMCid:PMC6743552
Vidotto LS, Carvalho CRFd, Harvey A, Jones M. Dysfunctional breathing: what do we know? J Bras Pneumol. 2019; 45(1):e20170347-e.
https://doi.org/10.1590/1806-3713/e20170347
PMid:30758427 PMCid:PMC6534396
Depiazzi J, Everard ML. Dysfunctional breathing and reaching one's physiological limit as causes of exercise-induced dyspnoea. Breathe (Sheff). 2016; 12(2):120-9.
https://doi.org/10.1183/20734735.007216
PMid:27408630 PMCid:PMC4933621
Wilson C. Hyperventilation syndrome: diagnosis and reassurance. JPP. 2018; 10(9):370-5.
https://doi.org/10.12968/jpar.2018.10.9.370
Ling DI, Pai M, Schiller I, Dendukuri N. A Bayesian framework for estimating the incremental value of a diagnostic test in the absence of a gold standard. BMC Med Res Methodol. 2014; 14:67.
https://doi.org/10.1186/1471-2288-14-67
PMid:24886359 PMCid:PMC4077291
Joseph L, Gyorkos TW, Coupal L. Bayesian estimation of disease prevalence and the parameters of diagnostic tests in the absence of a gold standard. Am J Epidemiol. 1995; 141(3):263-72.
https://doi.org/10.1093/oxfordjournals.aje.a117428
PMid:7840100
Ravanbakhsh M, Nargesi M, Raji H, Haddadzadeh Shoushtari M. Reliability and Validity of the Iranian Version of Nijmegen Questionnaire in Iranians with Asthma. Tanaffos. 2015; 14(2):121-7.
Ladouceur M, Rahme E, Belisle P, Scott AN, Schwartzman K, Joseph L. Modeling continuous diagnostic test data using approximate Dirichlet process distributions. Stat Med. 2011; 30(21):2648-62.
https://doi.org/10.1002/sim.4320
PMid:21786286
Cai T, Moskowitz CS. Semi-parametric estimation of the binormal ROC curve for a continuous diagnostic test. Biostatistics. 2004; 5(4):573-86.
https://doi.org/10.1093/biostatistics/kxh009
PMid:15475420
Brat K, Stastna N, Merta Z, Olson LJ, Johnson BD, Cundrle I, Jr. Cardiopulmonary exercise testing for identification of patients with hyperventilation syndrome. PloS one. 2019; 14(4):e0215997-e.
https://doi.org/10.1371/journal.pone.0215997
PMid:31013331 PMCid:PMC6478351
Pfortmueller CA, Pauchard-Neuwerth SE, Leichtle AB, Fiedler GM, Exadaktylos AK, Lindner G. Primary Hyperventilation in the Emergency Department: A First Overview. PLoS One. 2015; 10(6):e0129562.
https://doi.org/10.1371/journal.pone.0129562
PMid:26110771 PMCid:PMC4482441
Steel Z, Marnane C, Iranpour C, Chey T, Jackson JW, Patel V et al. The global prevalence of common mental disorders: a systematic review and meta-analysis 1980-2013. Int J Epidemiol. 2014; 43(2):476-93.
https://doi.org/10.1093/ije/dyu038
PMid:24648481 PMCid:PMC3997379
Charlson F, van Ommeren M, Flaxman A, Cornett J, Whiteford H, Saxena S. New WHO prevalence estimates of mental disorders in conflict settings: a systematic review and meta-analysis. The Lancet. 2019; 394(10194):240-8.
https://doi.org/10.1016/S0140-6736(19)30934-1
de Groot EP, Duiverman EJ, Brand PL. Dysfunctional breathing in children with asthma: a rare but relevant comorbidity. Eur Respir J. 2013; 41(5):1068-73.
https://doi.org/10.1183/09031936.00130212
PMid:23018913
Talaat HS, Moaty AS, Elsayed MA. Arabization of Nijmegen questionnaire and study of the prevalence of hyperventilation in dizzy patients. Hearing Balance Commun. 2019; 17(2):182-8.
https://doi.org/10.1080/21695717.2019.1590989
Stanton AE, Vaughn P, Carter R, Bucknall CE. An observational investigation of dysfunctional breathing and breathing control therapy in a problem asthma clinic. J Asthma. 2008; 45(9):758-65.
https://doi.org/10.1080/02770900802252093
PMid:18972291
Demeter SL, Cordasco EM. Hyperventilation syndrome and asthma. Am J Med. 1986; 81(6):989-94.
https://doi.org/10.1016/0002-9343(86)90393-1
Agache I, Ciobanu C, Paul G, Rogozea L. Dysfunctional breathing phenotype in adults with asthma - incidence and risk factors. Clin Transl Allergy. 2012; 2(1):18.
https://doi.org/10.1186/2045-7022-2-18
PMid:22992302 PMCid:PMC3502326
Additional Files
Published
How to Cite
Issue
Section
License
Copyright (c) 2020 Galen Medical Journal

This work is licensed under a Creative Commons Attribution 4.0 International License.





