Proteinuria and Renal Dysfunction after Intravitreal Injection of Bevacizumab in Patients with Diabetic Nephropathy: A Prospective Observational Study
DOI:
https://doi.org/10.31661/gmj.v7i.1299Keywords:
Anti-VEGF, Bevacizumab, Diabetic Nephropathy, Diabetic Retinopathy, Glomerular Filtration Rate, Renal Dysfunction, ProteinuriaAbstract
Background: Proliferative diabetic retinopathy (PDR) is one of the most important microvascular complications among the patients with diabetes. Intravitreal anti-vascular endothelial growth factor (anti-VEGF) agent enacts a key role in PDR. Some studies have dealt with the systemic exposure to these agents after intravitreal administration. However, renal dysfunction following this therapy has scarcely been reported. Hence, this study aimed to determine the effect of intravitreal bevacizumab treatment on the deterioration of renal function and proteinuria.
Materials and Methods: This present prospective observational study was performed on 40 patients with diabetic nephropathy and PDR and/or significant diabetic macular edema as the candidates for receiving intravitreal injection of bevacizumab. To evaluate renal function, changes in the urinary albumin-to-creatinine ratio (UACR), serum creatinine (SCr), and estimated glomerular filtration rate (eGFR) one month after injection were measured. Also, changes in systolic and diastolic blood pressures (BPs), plasma VEGF level, platelet, white blood cell (WBC) counts, and hemoglobin (Hb) level were measured at the baseline and one month after treatment.
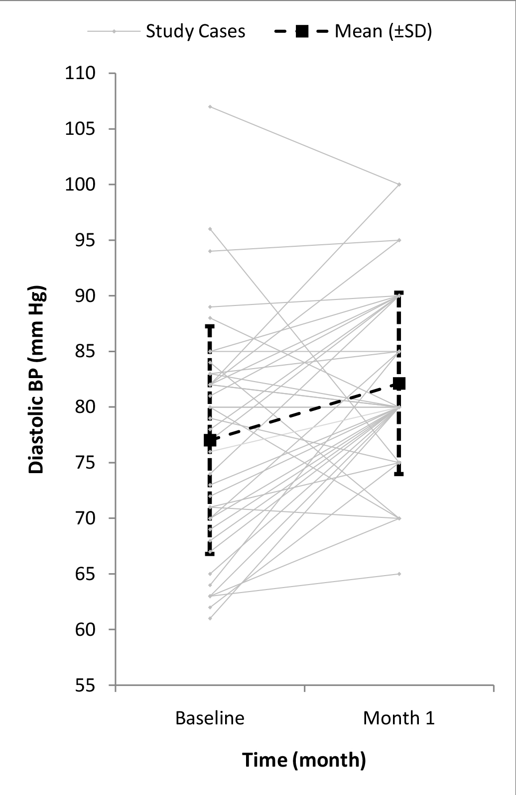
Results: The mean age of the patients was 60.3 ± 9.2 years, and 33 patients were female. The decrease in the plasma VEGF level and platelet count, as well as the increase in diastolic BP, and Hb level were significant. However, systolic BP and WBC count remained unchanged. There were no significant changes in UACR, SCr, and eGFR after the injection as compared to baseline (P>0.05).
Conclusion: Our study indicated that intravitreal bevacizumab injection was not associated with renal dysfunction and proteinuria in patients with diabetic nephropathy. Nevertheless, diastolic BP and Hb level could increase after one month. [GMJ.2018;In press:e1299]
References
Cheung N, Mitchell P, Wong TY. Diabetic retinopathy. Lancet. 2010;376(9735):124-36. doi:10.1016/s0140-6736(09)62124-3. Das A, Stroud S, Mehta A, Rangasamy S. New treatments for diabetic retinopathy. Diabetes Obes Metab. 2015;17(3):219-30. doi:10.1111/dom.12384. Legros L, Slama B, Karsenti JM, Vey N, Natarajan-Ame S, Watel E et al. Treatment of myelodysplastic syndromes with excess of blasts by bevacizumab is well tolerated and is associated with a decrease of VEGF plasma level. Ann Hematol. 2012;91(1):39-46. doi:10.1007/s00277-011-1242-z. Porta C, Cosmai L, Gallieni M, Pedrazzoli P, Malberti F. Renal effects of targeted anticancer therapies. Nat Rev Nephrol. 2015;11(6):354-70. doi:10.1038/nrneph.2015.15. Poku E, Rathbone J, Wong R, Everson-Hock E, Essat M, Pandor A et al. The safety of intravitreal bevacizumab monotherapy in adult ophthalmic conditions: systematic review. BMJ Open. 2014;4(7):e005244. doi:10.1136/bmjopen-2014-005244. Cheungpasitporn W, Chebib FT, Cornell LD, Brodin ML, Nasr SH, Schinstock CA et al. Intravitreal Antivascular Endothelial Growth Factor Therapy May Induce Proteinuria and Antibody Mediated Injury in Renal Allografts. Transplantation. 2015;99(11):2382-6. doi:10.1097/tp.0000000000000750. Huang YF, Chen SJ, Hsu MY, Hwang DK. Acute renal failure after intravitreal antivascular endothelial growth factor therapy. J Formos Med Assoc. 2017;116(6):490-2. doi:10.1016/j.jfma.2016.09.010. Khneizer G, Al-Taee A, Bastani B. Self-limited membranous nephropathy after intravitreal bevacizumab therapy for age-related macular degeneration. J Nephropathol. 2017;6(3):134-7. doi:10.15171/jnp.2017.23. Li T, Witteman DT, Weber ED, Alexander WL, Schaber JD. SEVERE IMMUNE-MEDIATED THROMBOCYTOPENIA AFTER INTRAVITREAL BEVACIZUMAB INJECTION. Retin Cases Brief Rep. 2017. doi:10.1097/icb.0000000000000687. Pelle G, Shweke N, Duong Van Huyen JP, Tricot L, Hessaine S, Fremeaux-Bacchi V et al. Systemic and kidney toxicity of intraocular administration of vascular endothelial growth factor inhibitors. Am J Kidney Dis. 2011;57(5):756-9. doi:10.1053/j.ajkd.2010.11.030. Georgalas I, Papaconstantinou D, Papadopoulos K, Pagoulatos D, Karagiannis D, Koutsandrea C. Renal injury following intravitreal anti-VEGF administration in diabetic patients with proliferative diabetic retinopathy and chronic kidney disease--a possible side effect? Curr Drug Saf. 2014;9(2):156-8. Zehetner C, Kirchmair R, Huber S, Kralinger MT, Kieselbach GF. Plasma levels of vascular endothelial growth factor before and after intravitreal injection of bevacizumab, ranibizumab and pegaptanib in patients with age-related macular degeneration, and in patients with diabetic macular oedema. Br J Ophthalmol. 2013;97(4):454-9. doi:10.1136/bjophthalmol-2012-302451. Levey AS, Stevens LA, Schmid CH, Zhang YL, Castro AF, 3rd, Feldman HI et al. A new equation to estimate glomerular filtration rate. Ann Intern Med. 2009;150(9):604-12. Izzedine H, Massard C, Spano JP, Goldwasser F, Khayat D, Soria JC. VEGF signalling inhibition-induced proteinuria: Mechanisms, significance and management. Eur J Cancer. 2010;46(2):439-48. doi:10.1016/j.ejca.2009.11.001. Glassman AR, Liu D, Jampol LM, Sun JK. Changes in Blood Pressure and Urine Albumin-Creatinine Ratio in a Randomized Clinical Trial Comparing Aflibercept, Bevacizumab, and Ranibizumab for Diabetic Macular Edema. Invest Ophthalmol Vis Sci. 2018;59(3):1199-205. doi:10.1167/iovs.17-22853. Kameda Y, Babazono T, Uchigata Y, Kitano S. Renal function after intravitreal administration of vascular endothelial growth factor inhibitors in patients with diabetes and chronic kidney disease. J Diabetes Investig. 2017. doi:10.1111/jdi.12771. Abbas A, Mirza MM, Ganti AK, Tendulkar K. Renal Toxicities of Targeted Therapies. Target Oncol. 2015;10(4):487-99. doi:10.1007/s11523-015-0368-7. Rich RM, Rosenfeld PJ, Puliafito CA, Dubovy SR, Davis JL, Flynn HW, Jr. et al. Short-term safety and efficacy of intravitreal bevacizumab (Avastin) for neovascular age-related macular degeneration. Retina. 2006;26(5):495-511. doi:10.1097/01.iae.0000225766.75009.3a. Schutz FA, Jardim DL, Je Y, Choueiri TK. Haematologic toxicities associated with the addition of bevacizumab in cancer patients. Eur J Cancer. 2011;47(8):1161-74. doi:10.1016/j.ejca.2011.03.005. Tian X, Kaufman DS. Differentiation of embryonic stem cells towards hematopoietic cells: progress and pitfalls. Curr Opin Hematol. 2008;15(4):312-8. doi:10.1097/MOH.0b013e328302f429. Lancrin C, Sroczynska P, Serrano AG, Gandillet A, Ferreras C, Kouskoff V et al. Blood cell generation from the hemangioblast. J Mol Med (Berl). 2010;88(2):167-72. doi:10.1007/s00109-009-0554-0. Katoh O, Tauchi H, Kawaishi K, Kimura A, Satow Y. Expression of the vascular endothelial growth factor (VEGF) receptor gene, KDR, in hematopoietic cells and inhibitory effect of VEGF on apoptotic cell death caused by ionizing radiation. Cancer Res. 1995;55(23):5687-92. Shalaby F, Rossant J, Yamaguchi TP, Gertsenstein M, Wu XF, Breitman ML et al. Failure of blood-island formation and vasculogenesis in Flk-1-deficient mice. Nature. 1995;376(6535):62-6. doi:10.1038/376062a0. Tam BY, Wei K, Rudge JS, Hoffman J, Holash J, Park SK et al. VEGF modulates erythropoiesis through regulation of adult hepatic erythropoietin synthesis. Nat Med. 2006;12(7):793-800. doi:10.1038/nm1428.





