Colonization of Mouse Spermatogonial Cells in Modified Soft Agar Culture System Utilizing Nanofibrous Scaffold: A New Approach
DOI:
https://doi.org/10.31661/gmj.v8i.1319Keywords:
Adult Germline Stem Cells, Cell Proliferation, Tissue Scaffolds, AgarAbstract
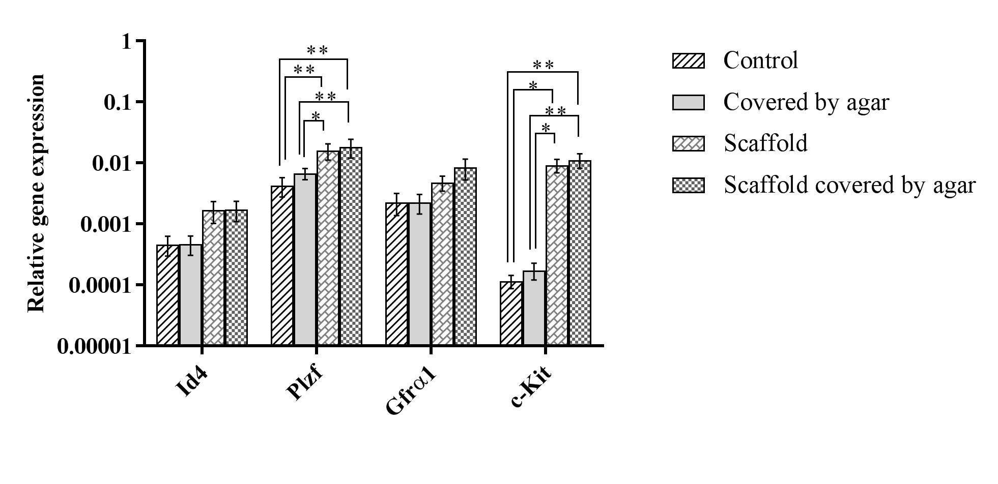
Background: Spermatogonial stem cells (SSCs) are considered in fertility management approaches of prepubertal boys facing cancer therapies. However, in vitro propagation has become an important issue due to a small number of SSCs in testicular tissue. The present study aimed to investigate a modified soft agar culture system by using a nanofibrous scaffold as a new approach to mimic in vivo conditions of SSCs development. Materials and Methods: The SSCs were isolated from neonate mouse testes, cultured on polycaprolactone scaffold, and covered by a layer of soft agar for 2 weeks. Then, the number and diameter of colonies formed in experimental groups were measured and spermatogonial markers (i.e., Plzf, Gfrα1, Id4, and c-Kit) in SSCs colonies were evaluated by a real-time polymerase chain reaction and immunostaining. Results: Our results indicated that the colonization rate of SSCs was significantly higher in the present modified soft agar culture system (P<0.05). Only Plzf indicated a significant increased at the levels (P<0.05), the gene expression levels of Id4, Plzf, and Gfrα1 were higher in the present culture system. In addition, the expression of the c-Kit gene as a differentiating spermatogonia marker was higher in presence of scaffold and soft agar compared with the amount of other experimental groups (P<0.05). Conclusion: The culture system by using nanofibrous scaffold and soft agar as a new culture method suggests the potential of this approach in SSCs enrichment and differentiation strategies for male infertility treatments, as well as in vitro spermatogenesis. [GMJ.2019;8:e1319]
References
Ward E, DeSantis C, Robbins A, Kohler B, Jemal A. Childhood and adolescent cancer statistics, 2014. CA Cancer J Clin. 2014;64(2):83-103. https://doi.org/10.3322/caac.21219PMid:24488779 Onofre J, Baert Y, Faes K, Goossens E. Cryopreservation of testicular tissue or testicular cell suspensions: a pivotal step in fertility preservation. Hum Reprod Update. 2016;22(6):744-61. https://doi.org/10.1093/humupd/dmw029PMid:27566839 PMCid:PMC5099994 Picton HM, Wyns C, Anderson RA, Goossens E, Jahnukainen K, Kliesch S et al. A European per-spective on testicular tissue cryopreservation for fertility preservation in prepubertal and adoles-cent boys. Hum Reprod. 2015;30(11):2463-75. https://doi.org/10.1093/humrep/dev190PMid:26358785 Galuppo AG. Spermatogonial stem cells as a therapeutic alternative for fertility preservation of prepubertal boys. Einstein (Sao Paulo). 2015;13(4):637-9. https://doi.org/10.1590/S1679-45082015RB3456PMid:26761559 PMCid:PMC4878644 He Y, Chen X, Zhu H, Wang D. Developments in techniques for the isolation, enrichment, main culture conditions and identification of spermatogonial stem cells. Cytotechnology. 2015;67(6):921-30. https://doi.org/10.1007/s10616-015-9850-4PMid:25749914 PMCid:PMC4628917 Boitani C, Di Persio S, Esposito V, Vicini E. Spermatogonial cells: mouse, monkey and man com-parison. Semin Cell Dev Biol. 2016;59:79-88. https://doi.org/10.1016/j.semcdb.2016.03.002PMid:26957475 Ibtisham F, Wu J, Xiao M, An L, Banker Z, Nawab A et al. Progress and future prospect of in vitro spermatogenesis. Oncotarget. 2017;8(39):66709-27. https://doi.org/10.18632/oncotarget.19640PMid:29029549 PMCid:PMC5630449 Khorshidi S, Solouk A, Mirzadeh H, Mazinani S, Lagaron JM, Sharifi S et al. A review of key chal-lenges of electrospun scaffolds for tissue-engineering applications. J Tissue Eng Regen Med. 2016;10(9):715-38. https://doi.org/10.1002/term.1978PMid:25619820 Dash TK, Konkimalla VB. Poly-є-caprolactone based formulations for drug delivery and tissue en-gineering: A review. J Controlled Release. 2012;158(1):15-33. https://doi.org/10.1016/j.jconrel.2011.09.064PMid:21963774 Mei X-X, Wang J, Wu J. Extrinsic and intrinsic factors controlling spermatogonial stem cell self-renewal and differentiation. Asian J Androl. 2015;17(3):347. Stukenborg JB, Wistuba J, Luetjens CM, Elhija MA, Huleihel M, Lunenfeld E et al. Coculture of Spermatogonia With Somatic Cells in a Novel Three Dimensional Soft Agar Culture System. J An-drol. 2008;29(3):312-29. https://doi.org/10.2164/jandrol.107.002857PMid:18046051 Elhija MA, Lunenfeld E, Schlatt S, Huleihel M. Differentiation of murine male germ cells to sperma-tozoa in a soft agar culture system. Asian J Androl. 2011;14:285-93. https://doi.org/10.1038/aja.2011.112PMid:22057383 PMCid:PMC3735096 Navid S, Rastegar T, Baazm M, Alizadeh R, Talebi A, Gholami K et al. In vitro effects of melatonin on colonization of neonate mouse spermatogonial stem cells. Syst Biol Reprod Med. 2017;63(6):370-81. https://doi.org/10.1080/19396368.2017.1358774PMid:28846448 Salehi M, Naseri-Nosar M, Ebrahimi-Barough S, Nourani M, Khojasteh A, Hamidieh AA et al. Sciatic nerve regeneration by transplantation of Schwann cells via erythropoietin controlled-releasing pol-ylactic acid/multiwalled carbon nanotubes/gelatin nanofibrils neural guidance conduit. J Biomed Mater Res B Appl Biomater. 2017. https://doi.org/10.1002/jbm.b.33952PMid:28675568 Saeed F, Mahdi N-N, Hadi S, Simin M, Roksana T, Majid R et al. Taurine-loaded poly (ε-caprolactone)/gelatin electrospun mat as a potential wound dressing material: In vitro and in vivo evaluation. J Bioact Compatible Polym. 2017:0883911517737103. Goossens E, Van Saen D, Tournaye H. Spermatogonial stem cell preservation and transplantation: from research to clinic. Hum Reprod. 2013;28(4):897-907. https://doi.org/10.1093/humrep/det039PMid:23427228 KarbalaeiMahdi A, Shahrousvand M, Javadi HR, Ghollasi M, Norouz F, Kamali M et al. Neural dif-ferentiation of human induced pluripotent stem cells on polycaprolactone/gelatin bi-electrospun nanofibers. Mater Sci Eng, C. 2017;78:1195-202. https://doi.org/10.1016/j.msec.2017.04.083PMid:28575957 Ghasemi-Mobarakeh L, Prabhakaran MP, Morshed M, Nasr-Esfahani M-H, Ramakrishna S. Elec-trospun poly (ɛ-caprolactone)/gelatin nanofibrous scaffolds for nerve tissue engineering. Bio-materials. 2008;29(34):4532-9. https://doi.org/10.1016/j.biomaterials.2008.08.007PMid:18757094 Chong E, Phan T, Lim I, Zhang Y, Bay B, Ramakrishna S et al. Evaluation of electrospun PCL/gelatin nanofibrous scaffold for wound healing and layered dermal reconstitution. Acta Bio-mater. 2007;3(3):321-30. https://doi.org/10.1016/j.actbio.2007.01.002PMid:17321811 Rahimi-Feyli P, Tajik P, Shafiei S, Dodel M, Arbabi F. The effect of poly L-lactic acid nanofiber on the induction of colony formation of frozen-thawed bovine spermatogonial stem cells in vitro. KAUMS Journal (FEYZ). 2015;19(1):15-23. Eslahi N, Hadjighassem MR, Joghataei MT, Mirzapour T, Bakhtiyari M, Shakeri M et al. The effects of poly L-lactic acid nanofiber scaffold on mouse spermatogonial stem cell culture. Int J Nanomed-icine. 2013;8:4563-76. https://doi.org/10.2147/IJN.S45535PMid:24348035 PMCid:PMC3848747 Shakeri M, Kohram H, Shahverdi A, Shahneh AZ, Tavakolifar F, Pirouz M et al. Behavior of mouse spermatogonial stem-like cells on an electrospun nanofibrillar matrix. J Asst Rep Gen. 2013;30(3):325-32. https://doi.org/10.1007/s10815-012-9916-6PMid:23274510 PMCid:PMC3607679
											
						




