Reduced Levels of miR–28 and miR–200a Act as Predictor Biomarkers of Aggressive Clinicopathological Characteristics in Gastric Cancer Patients
DOI:
https://doi.org/10.31661/gmj.v8i.1329Keywords:
Biomarkers, Gastric Cancer, miRNA–28, miRNA–200a, Quantitative Real-time PCRAbstract
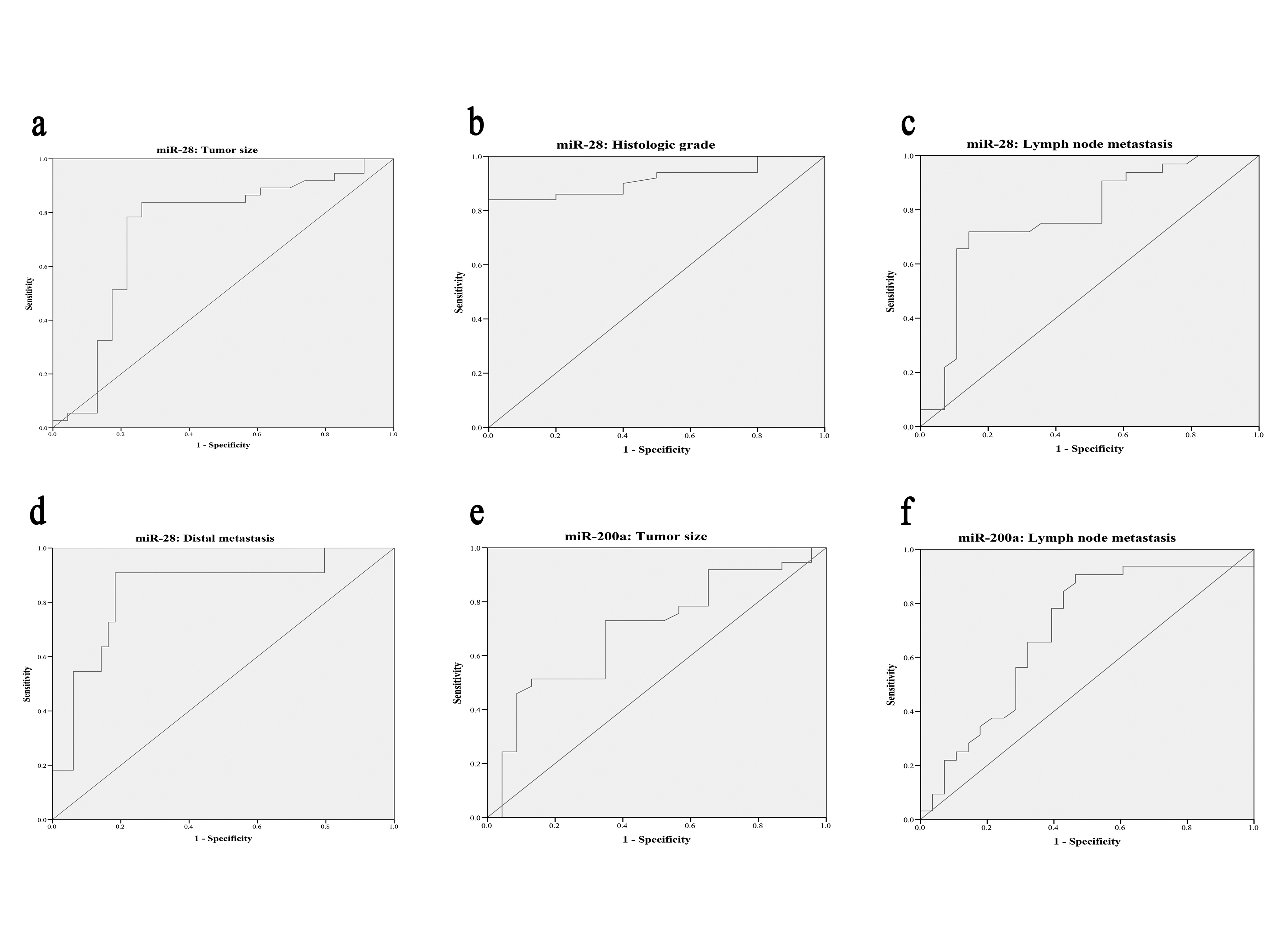
Background: MicroRNAs (miRNAs) play critical roles in different pathological processes including cancer development and progression. To find novel molecular diagnostic and prognostic markers and promising therapeutic tools for gastric cancer (GC), we aimed to investigate the relationship of the expression levels of miR–28–5p or miR–200a–3p with the clinicopathological criteria and to explore their impacts on the progression of human GC. Materials and Methods: Quantitative RT–PCR was performed to analyze miR–28 and miR–200a expression in 60 GC and 60 non–GC tissue samples. Result: Our results revealed that the expressions of miR–200a and miR–28 were significantly downregulated in GC in comparison with non–GC tissues. Tumors with low miR–28 expression had larger tumor size, more advanced histological grade, and a higher incidence of lymph node and distal metastasis than the tumors with high miR–28 expressions. Furthermore, receiver operating characteristic (ROC) analyses demonstrate that the expression of miR–28 is a predictive biomarker allows predicting the histological grade, tumor size, and occurrence of nodal and distal metastases. We also found a significant inverse association between miR–200a expression and the rate of lymph node metastasis (p = 0.010, r = –0.334). Conclusion: Our findings suggest that the miR–28 and miR–200a have tumor–suppressor functions and may be considered as potential biomarkers for gastric cancer diagnosis and prognosis.[GMJ.2019;8:e1329]
References
https://doi.org/10.3322/caac.21262https://doi.org/10.1371/journal.pone.0082770https://doi.org/10.1007/s10120-012-0228-4https://doi.org/10.4103/2395-3977.159532https://doi.org/10.1016/j.biopha.2017.10.129https://doi.org/10.1038/nrc1840https://doi.org/10.4137/TOG.S29652Markopoulos GS, Roupakia E, Tokamani M, Chavdoula E, Hatziapostolou M, Polytarchou C et al. A step-by-step microRNA guide to cancer development and metastasis. Cell Oncol. 2017:1-37. Zhou K, Liu M, Cao Y. New insight into microRNA functions in cancer: oncogene–microRNA–tumor suppressor gene network. Front Mol Biosci. 2017;4. https://doi.org/10.1073/pnas.0307323101https://doi.org/10.1002/cam4.246Almeida MI, Nicoloso MS, Zeng L, Ivan C, Spizzo R, Gafà R et al. Strand-specific miR-28-5p and miR-28-3p have distinct effects in colorectal cancer cells. Gastroenterology. 2012;142(4):886-96. e9. https://doi.org/10.3892/ijo.2017.3915https://doi.org/10.1158/0008-5472.CAN-13-2041https://doi.org/10.1093/carcin/bgv087https://doi.org/10.3892/ol.2015.3028https://doi.org/10.1016/j.canlet.2013.11.004https://doi.org/10.1186/1471-2407-14-85https://doi.org/10.1038/bjc.2014.51https://doi.org/10.1038/nature21386https://doi.org/10.1016/j.febslet.2010.08.009https://doi.org/10.1007/s10555-009-9188-5https://doi.org/10.1038/nrg2634https://doi.org/10.1016/j.biopha.2017.02.062https://doi.org/10.1016/j.biopha.2017.03.068https://doi.org/10.3892/ol.2018.8038https://doi.org/10.1016/j.gde.2018.01.001https://doi.org/10.1111/j.1750-3639.2009.00328.xhttps://doi.org/10.1007/s10549-011-1604-1https://doi.org/10.18632/oncotarget.12516https://doi.org/10.1002/hep.28445https://doi.org/10.1016/j.ygyno.2014.01.047https://doi.org/10.1007/s12094-015-1303-1





